O Livro de Cálculo mais didático que você poderá encontrar no mercado!
• Toda teoria de Limites. Derivadas e Integrais em uma variável real.
• + de 300 exercícios com resoluções em vídeo.
Este livro não somente ensinará e fará você aprender o que nunca entendeu — ele te ensinará a pensar. Você terá:
Para comemorarmos, fizemos um evento presencial, onde reunimos todos que já haviam comprado, ou que gostariam de comprar presencialmente. Com direito de autografar o livro. Veja algumas fotos desse momento histórico:









Chega de apenas ser sobrecarregado de informações e fórmulas, e não entender nada.
Desde o ensino básico, você é bombardeado de informações, fórmulas, figuras geométricas, e tantas outras coisas que nunca fizeram nenhum sentido para você. E, quando chega na hora de aprender Cálculo, tudo parece ainda mais complexo e impossível. Isso acaba hoje. Dedicamos todo nosso tempo neste livro em fazer você: compreender de onde vêm as ideias, porquê funcionam e o que significam.
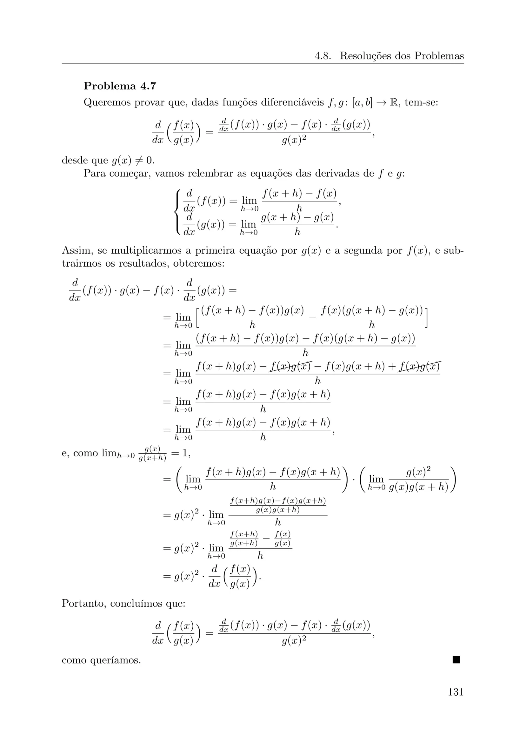
Espie como o primeiro livro artesanal de Cálculo está por dentro:
Figuras feitas à mão. Conteúdo explicado de maneira didática do absoluto zero. Contextos históricos. Tudo que você precisa para não fazer parte da estatística que tem dificuldade em aprender Cálculo.






Você não somente receberá o livro em uma edição de luxo, mas um conjunto completo dentro do nosso box exclusivo.
✅ Livro didático capa dura, autografado pelos autores (edição limitada)
Um exemplar de colecionador, com a assinatura dos criadores do curso. É o material que te acompanha do primeiro ao último conceito, em uma edição que poucos terão.
✅ Descaderno de Cálculo
O “Descaderno” é onde se anota não para decorar, mas para pensar. Um espaço que desaprendeu a só registrar, pra se tornar terreno fértil de ideias em construção.
✅ Marcador de Página Personalizado
Pequenos detalhes também importam. Um marcador exclusivo que conecta você, simbolicamente, à comunidade fundadora do curso.








Acesso a todas as aulas exclusivas e também ao vivo. Um ano completo de acesso ao curso. Centenas de exercícios todos com resolução em vídeo. Além de monitoria e suporte contínuo, todos os dias, dentro da plataforma exclusiva de aulas do Universo Narrado.
Faça sua decisão, antes que as unidades acabem e a promoção exclusiva de adquirir o Box com o livro + o curso encerre.
Garanta a edição exclusiva da primeira impressão do livro do LC.
Apenas o Box com o livro: Lições de Cálculo
✔ Livro didático capa dura (edição limitada)
✔ Descaderno de Cálculo para anotações
✔ Marcador de página personalizado
à vista
Acesso ao Curso do Lições de Cálculo (ao vivo)
Acesso a todas aulas exclusivas do Curso Lições de
Cálculo.
Monitoria na plataforma
Exercícios resolvidos em vídeo
1 ano inteiro de acesso
Box único do Lições de Cálculo de Bônus
Livro didático capa dura (edição limitada)
Marcador de página personalizado
O valor final do Combo ficará, por apenas:
12x R$99 ,56
(ou R$ 997,00 à vista)
🌎 Se você é aluno do UN PASS, da Vitalícia ou já tem o LC, seu acesso ao curso ao vivo do Lições de Cálculo (e às gravações dele) está garantido.
Para ativar seu desconto no LC Box, preencha os dados acima com o mesmo e-mail que você usa para acessar a plataforma do UN.
ESGOTADO!
Todas as unidades do Lições de Cálculo acabaram.
Preencha abaixo para entrar na lista de espera e ser avisado.
Alguém entrou em contato com você?
Digite o número com DDD e o "9" inicial, no espaço abaixo, para verificar se é um contato oficial do Universo Narrado.
⚠️ IMPORTANTE: Para a sua segurança, confie apenas nos números oficiais do UN.
alunos transformados
Por que confiar no Universo Narrado?

Felipe Guisoli
Professor de Física e de Matemática há 10 anos. Físico e Mestre em Física Teórica pela Universidade Federal de Minas Gerais (UFMG).
Felipe Guisoli e o Engenheiro do Universo Narrado
Eu e toda a equipe do Universo Narrado seremos encurtadores de caminhos para você, como é o papel de um bom mestre na trilha de preparação e de conhecimento! Somos milhares de alunos aprovados(as) e impactados por uma educação que transforma em todo o Brasil.
Felipe Guisoli, nosso fundador, começou a dar aulas nos melhores colégios e cursos preparatórios no Brasil com 20 anos. Em 2022, saiu das salas de aulas tradicionais para investir 100% no Universo Narrado e promover uma educação diferente das que eu via tradicionalmente, de lá pra cá, somos milhares de estudantes espalhados nas universidades e carreiras pelo Brasil e pelo mundo!
O Universo Narrado carrega os selos do Youtube Edu, Science Vlogs e Youtube Next Up-Educação Criativa. Temos a missão de fazer VOCÊ mais inteligente todos os dias.

Prof. Engenheiro
Professor de Matemática há 11 anos. Graduado e mestre pela Universidade Federal de Minas Gerais (UFMG).